充電機充電倍率對鋰離子電池衰降的影響
鋰離子電池在運用過程中跟著充電機充放電次數的添加,容量逐步下降,也即是咱們所說的衰降,直觀的感受即是電量越來越不行用了。好比咱們的手機,剛剛買來的時分,充電機充溢一次電能夠運用一整天,可是跟著咱們運用也許充電機充溢電就只能支持半響的運用了,這即是鋰離子電池在運用中容量衰降了,這關于花費電子商品這種更新換代的比較快的商品還比較好處理,在電池容量衰降過大之前,也許咱們就現已更換新的手機了,可是關于電動車這種運用壽數較長的經用商品來說就不那么好處理了,一般來說轎車的運用壽數可達10年左右,這期間也許要進行1000次到2000次左右的充電(假設每隔一天進行一次充電),為了滿意花費者對電動轎車的運用需求,就必須對電動轎車的鋰離子電池的壽數提出必定的請求。
影響鋰離子電池壽數的影響要素很多,運用溫度、充電機充放電電流、充電機充放電截止充電機電壓等要素都會影響鋰離子電池的衰降速度。造成鋰離子電池容量衰降的機理也能夠分為三類:內阻和極化添加、正負極活性物質丟失、Li丟失[1],不一樣的外部要素對這三者的影響也各不相同。例如LiFePO4資料的電池一般來說具有十分好的循環功能,可是美國德州大學阿靈頓分校的Derek N. Wong等[2]研討發現運用條件對其循環壽數有著主要的影響,當Derek N. Wong分別對26650類型的LiFePO4電池進行15C脈沖放電和15C接連放電,兩種放電準則關于LiFePO4電池具有完全不一樣的影響。15C脈沖放電的磷酸鐵鋰電池容量衰降十分快,40次后就無法進行15C放電,可是依然能夠進行1C放電,1C放電的衰降速率為6%/20次。而15C接連放電電池容量衰降較慢,60次今后依然能夠進行15C放電,可是1C倍率的衰降速率要快于15C脈沖放電,到達14%/20次。機理研討顯現,15C脈沖放電的電池在負極的SEI膜中含有更多的LiF,而LiF對鋰離子分散的阻止更大,使得電池的Li+分散阻抗和電荷交流阻抗敏捷添加,然后使得電池在充電機充放電過程中極化充電機電壓過大,然后致使LiFePO4大電流放電才能敏捷下降。
鋰離子電池的充電機放電準則很大程度上依賴于運用者,好的充電機放電準則關于有的運用者而言并不必定適用。可是充電機充電準則則主要是設計者進行操控,因而關于充電機充電準則對電池壽數衰降的影響的研討,能夠十分好的輔導咱們對鋰離子電池的設計。北京交通大學的Yang Gao等[3]關于不一樣的充電準則對鋰離子電池壽數衰降的影響,并研討了其效果機理,提出了鋰離子電池的壽數衰降模型。Yang Gao的研討顯現,當充電電流和截止充電機電壓超越必定的數值時,鋰離子電池的衰降將被極大的加快,為了下降鋰離子電池的衰降速率,需求關于不一樣的系統,挑選合適的充電機充放電電流和截止充電機電壓。
測驗中Yang Gao采用了商用18650電池,正極資料為LiCoO2,負極資料為石墨,測驗了不一樣的充電電流對電池衰降速率的影響,成果如下圖所示。從下圖a中咱們能夠看到,充電電流關于鋰離子電池衰降速度具有極大的影響,在0.5C充電倍率下,在前150次循環電池的衰降速度為0.020%/循環,在150次-800次則安穩為0.0156%/循環,800次今后為0.0214%/循環。而0.8C充電倍率下,電池在前150次,衰降速度為0.0243%/循環,150次-800次為0.175%/循環,800次今后為0.0209%/循環。關于1C倍率充電,前150次衰降速率為0.032%/循環,150次-600次衰降速率為0.0188%/循環,600次今后衰降速度為0.0271%/循環。1.2C充電,前100次衰降速度為0.0472%/循環,100次-400次衰阿醬速度為0.0226%/循環,400次今后衰降速度為0.0356%/循環。1.5C倍率充電與別的倍率充電的電池具有很大的不一樣,均勻衰減速度為0.078%/循環,遠遠快于別的倍率下充電的電池。從上述數據能夠看到,跟著充電的倍率的加大,鋰離子電池的衰降速率也在迅速添加,并且從曲線的斜率來看,電池的衰降速度存在三個不一樣的期間,前期衰降速度較快的期間(期間1),中心衰降速度較慢的安穩期間(期間2),和后期的衰降速率加快期間(期間3)。關于三個期間電池的衰降機理的研討認為,期間1也許是因為電池SEI膜成長需求耗費一部分Li+,因而衰降速度較快。在期間2跟著SEI膜結構的安穩,內部較為安穩,因而衰降速度較慢,在期間3跟著電池老化,開始發作活性物質丟失,電極活性界面削減,致使電池關于電流十分靈敏。圖C是關于不一樣的截止充電機電壓對電池衰降速度影響的試驗,從試驗成果能夠看到,當把充電截止充電機電壓進步到4.3V時會致使電池的循環功能急劇惡化,下降充電截止充電機電壓能夠有用的改進電池的循環功能。
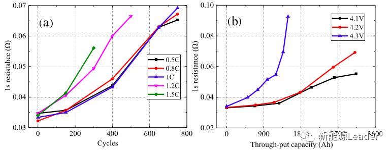
對電池的動態內阻剖析如下圖所示,從圖a測驗成果來看,當充電電流小于1C時,電池動態內阻跟著電池循環的變化趨勢簡直時一樣的,可是當充電電流超越1C時,電池動態內阻添加快度會跟著充電速率的添加而迅速添加。從圖b的測驗成果來看,當充電截止充電機電壓為4.3V時,電池動態內阻添加十分敏捷標明高截止充電機電壓會惡化電池的動力學條件,截止充電機電壓為4.1V和4.2V時電池動態內阻添加較為緩慢。
從上述剖析咱們能夠注意到,無論是充電電流仍是充電截止充電機電壓都存在一個值,當充電電流或許充電機電壓超越這個值時就會致使電池衰降加快,關于上述電池這個值是1C和4.2V,當充電電流和截止充電機電壓超越這個值后就會加快電池的衰降,當小于這個值時,進步充電電流和截止充電機電壓并不會明顯的添加電池的衰降速度。關于充電電流和截止充電機電壓對電池衰降速度影響的機理研討顯現,當充電電流低于1C時主要影響的是正負極活性物質丟失,而截止充電機電壓低于4.2V時影響的主要是Li丟失,當充電電流和截止充電機電壓高于這個值時,則會明顯的加快正負極活性物質丟失和Li丟失。
本文主要參考以下文獻,文章僅用于對相關科學作品的介紹和評論,以及課
教學和科學研究,不得作為商業用途。如有任何版權問題,請隨時與我們聯系。
1.Degradation diagnostics for lithium ion cells, Journal of Power Sources 341 (2017) 373-386, Christoph R Birkl, Matthew R. Roberts, Euan McTurk, Peter G. Bruce, David A. Howey
2.Characterizing rapid capacity fade and impedance evolution in high rate pulsed discharged lithium iron phosphate cells for complex, high power loads, Journal of Power Sources 328 (2016) 81-90^ Derek N. Wong, David A. Wetz,John M. Heinzel,Azzam N. Mansour
3. Lithium-ion battery aging mechanisms and life model under different
charging stresses, Journal of Power Sources 356 (2017) 103-114, Yang Gao, Jiuchun Jiang,Caiping Zhang,Weige Zhang,Zeyu Ma,Yr?增辦源
- 上一篇:中間繼電器的常閉與常開觸點 2017/6/10
- 下一篇:光伏并網系統的諧波不穩定產生機理及影響規律 2017/6/10
